motivic integration

Last modified date: <%+ tp.file.last_modified_date() %>



motivic integration

?

Examples

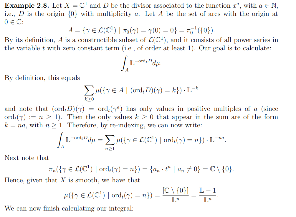
attachments/Pasted%20image%2020220528011549.png \begin{align*} \begin{aligned} \int_{A} \mathbb{L}^{-\operatorname{ord}_{t} D} \,d\mu &=\sum_{n \geq 1} \frac{(\mathbb{L}-1)}{\mathbb{L}^{n}} \cdot \mathbb{L}^{-n a}\\ &=(\mathbb{L}-1) \cdot \sum_{n \geq 1} \mathbb{L}^{-n(a+1)} \\ &=(\mathbb{L}-1) \cdot \frac{\mathbb{L}^{-(a+1)}}{1-\mathbb{L}^{-(a+1)}} \\ &=\frac{\mathbb{L}-1}{\mathbb{L}^{(a+1)}-1} \\ &=\frac{1}{1+\mathbb{L}+\cdots+\mathbb{L}^{a}} \\ &=\frac{1}{[\mathbb{P}^a]} \end{aligned} \end{align*}

Applications

attachments/Pasted%20image%2020220806000452.png

Links to this page
#todo/untagged #resources/summaries #todo/create-links