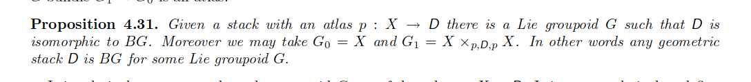
Artin stack

Last modified date: <%+ tp.file.last_modified_date() %>


- Tags: - #todo/untagged - Refs: - #todo/add-references - Links: - #todo/create-links


Artin stack

  • Example: the moduli stack of stable curves. Proving it is Artin uses a method of tricanonical embeddings, constructed using Hilbert schemes.
  • geometric points do not usually admit universal deformation rings.
  • Can prove Artin stacks are Deligne-Mumford stacks using an unramified diagonal argument.
  • Common requirement: diagonals that are represented by separated algebraic space of finite type.

attachments/Pasted%20image%2020220413092951.png attachments/Pasted%20image%2020220413093009.png attachments/Pasted%20image%2020220413093059.png

#todo/untagged #todo/add-references #todo/create-links